以下文章来源于管理世界杂志 ,作者江小涓、靳景。
近日,十三届全国人大常委会委员、全国人大社会建设委员会副主任委员、中国行政管理学会会长江小涓教授和我院博士后靳景在《管理世界》发表文章《数字技术提升经济效率:服务分工、产业协同和数实孪生》。文章尝试以数字技术促进分工与协作为主线,全面描述和深入分析数字技术提高经济效率促进经济增长的“三步曲”:一是通过服务产品内部分布式分工这种产业组织形态的重要创新,提高服务业分工与协作效率;二是数字服务通过向消费全域和生产全链赋能,提升全域全链业务贯通和协同能力,提高各类产业特别是平台的协同效率;三是通过数据全纳实现数字空间与现实空间全景融合,创造新的数实孪生叠加效率,提供双重价值。这三个方面继起和并存,提高全社会经济活动效率,提供新的增长源泉。
我们特将内容分享如下,以飨读者。
数字技术提升经济效率:服务分工、产业协同和数实孪生
作者:
江小涓(中国行政管理学会、中国社会科学院大学)
靳景(清华大学公共管理学院)
文章刊发:《管理世界》2022年第12期
摘要:数字技术的广泛应用促进了经济的数字化转型和效率提升。这个判断学界有共识,但系统全面的分析不多。本文尝试以数字技术促进分工与协作为主线,全面描述和深入分析数字技术提高经济效率促进经济增长的“三步曲”:一是通过服务产品内部分布式分工这种产业组织形态的重要创新,提高服务业分工与协作效率;二是数字服务通过向消费全域和生产全链赋能,提升全域全链业务贯通和协同能力,提高各类产业特别是平台的协同效率;三是通过数据全纳实现数字空间与现实空间全景融合,创造新的数实孪生叠加效率,提供双重价值。这三个方面继起和并存,提高全社会经济活动效率,提供新的增长源泉。
关键词:数字技术 经济效率 服务分工 产业协同 数实孪生
最近10年,中国经济增长速度较此前30年有较为明显的回落,实践中经济增长乏力的感受也较为普遍且日趋明显,以至于近期党中央、国务院多次强调要着力稳定宏观经济大盘。当前阶段导致经济增长缓下台阶的一个重要原因,是服务业比重提高带来整个经济效率的降低。从发展理论、国际经验和国内现实看,如果没有新动力源加入,我国经济增长将继续缓下台阶,进入一个长期中速增长的发展阶段。幸运的是,我们赶上了数字时代,数字技术的广泛应用对提高经济效率促进经济增长已经并将在更大程度上产生重要且持久的正面影响。
经济效率提升主要源自技术进步、商业模式创新和制度创新,本文系统分析技术进步带来的分工深化、协作加强和商业模式创新,重点剖析数字技术促进效率提升和经济增长的“三步曲”:提高服务业分工与协作效率,提高各类产业特别是平台的协同效率,创造新的数实孪生叠加效率。三者相继发力并长期并行,提升全社会经济活动效率,提供新的增长源泉。
一、服务业低效率与服务经济时代的低增长
(一)低效率的服务业与服务业高占比后的低增长
中国经济已经进入服务业为主的发展阶段。2012年服务业增加值占GDP比重首次超过制造业,2015年超过50%。同期,我国经济增长速度呈现缓慢而稳定的下行趋势(如图1所示)。这种表现可以解释为受服务业低效率带来的“成本病”(“鲍莫尔病”)的影响所致。

图1中国服务业增加值占GDP比重和GDP增长速度
数据来源:国家统计局
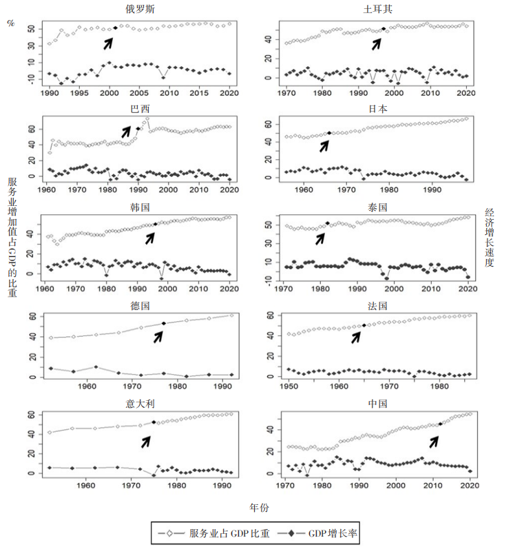
国际经验显示,服务业成为国民经济主要产业后经济增长速度会下降。为了与我国的情况有较强可比性,本文选取了服务业比重在20世纪后半期以来超过50%、同时也是人口超过5000万的较大国家样本(如图2所示)。图2中箭头所指年份,大致是对应经济体服务业超过50%的时期,此时起,各个经济体都呈现出服务业比重继续上升和经济增长速度下行的趋势,即服务业比重与经济增长速度呈现出“喇叭口”的形态。最后一张图是中国,可以看到,我们未能脱离开这个规律性趋势。

图2 若干国家服务业比重与经济增长速度的关系图
数据来源:世界银行、日本总务省统计局、帕尔格雷夫世界历史统计。样本国家2020年人口数均在5000万以上。该图由中国社会科学院博士李姝查阅数据并制图。
(二)服务业特点和低效率的3个来源
现在人们广泛采用希尔1977年提出的定义:“服务是指人或隶属于一类经济单位的物在事先合意的前提下由于其他经济单位活动所发生的变化”,“服务的生产和消费同时进行,即消费者单位的变化和生产者单位的变化同时发生”,这种变化是统一的,服务一旦生产出来必须由消费者获得而不能储存(希尔,1977)。由此看出,传统服务业有以下主要特点:一是服务主要是提供劳务和接受劳务,没有实物形态产出因而不能储存;二是供给消费同步即服务供给和消费同时同地发生;三是不可储存和同步性导致的不可远距离贸易。传统的教育服务、医疗服务、表演服务、旅行服务、保安服务、家政服务等都是典型的服务业。
服务业低效率的观点由来已久。以亚当·斯密为代表的古典学派就认为,那些能有效使用技术设备、吸引投资和带来财富积累的产业才是生产性的,主要指制造业。而服务业是非生产性的,包括公务员、军队、律师、医生、艺术家、家仆和其他私人服务等,这些职业的共同特点是不能应用先进技术扩大生产和积累财富。在斯密时代及稍后,这个观点非常流行(亚当·斯密,2011)。维克多·富克斯是现代服务经济理论的重要开创者,他在1968年出版的专著《服务经济(The Service Economy)》已经成为服务经济研究的经典之作(维克多·富克斯,1987)。他强调服务业效率较低,并将其归为技术、劳动力素质和资本密集度等因素。
威廉·鲍莫尔1967年发表的一篇论文成为迄今最著名的服务业研究经典文献(鲍莫尔,1967)。他提出了“两部门宏观经济增长模型”。在他的分析中,按照生产率增长速度高低将经济分为“进步部门”和“停滞部门”,前者以制造业为代表,由于使用高效率的机器设备,劳动生产率持续提高。而市政服务、教育、表演艺术、饭店和休闲娱乐等很多服务部门,服务过程需要服务提供者直接参与,劳动节约型技术应用空间较小,劳动生产率提升缓慢,被认为是“停滞部门”。经典案例是:一场半小时、五位乐手演奏的室内音乐会需要付出2.5小时人工成本,“表演者和表演时间本身就是服务的一个重要组成部分”,因此劳动生产率很难提高。由此,鲍莫尔提出了“服务业效率低”这个著名判断,并将服务业为主的发达经济体低增长速度的原因归结为此。虽然鲍莫尔后来使用更为复杂的解释(鲍莫尔,1985,1989),但其基本观点并未改变。
国内学术界受前苏联政治经济学的影响,在20世纪50年代到80年代中期这个阶段,认为服务业不是生产行业因而不创造价值(江小涓,1999)。80年代中期以后,有关服务业的相关研究增多,较早时期的研究强调服务消费品的重要意义,以及服务业具备能够创造价值的“产业性质”(李江帆,1984)。再稍后,学者们开始研究并认为加快发展服务业对当时中国经济增长有重要意义(刘伟、杨云龙,1992;江小涓、李辉,2004)。最近10年,随着服务业成为国内第一大产业和经济增长速度下行趋势明显,有关服务业低效率的研究开始增多,主要从服务业本身的特点分析服务业增长的低效率问题和低贸易比重问题。通过研究经典文献、观察经济现实和计算相关数据,本文将制约服务业效率提升的主要原因归结为以下3点。
1.服务特点对规模效率的制约
工业革命以来,技术进步为制造业提供了高速生产设备,市场的扩大容纳了大规模生产,制造业的规模经济效益显著,带来持续的效率提升,单位产品成本明显下降。这种情景下,即使工资水平上升,单位产品价格可以不升或者上涨速度慢于工资上升。服务业以“劳务提供为主”,不能使用提高效率的机器设备,缺乏规模经济,劳动生产率较低且长期保持不变。然而理论和实践都表明,无论部门之间生产率增长是否均衡,不同部门之间的工资水平却要求趋同。因此提供单位服务的工资成本不断上升,导致服务价格愈来愈高。随着收入水平提高,服务业需求快速增长,由于其劳动生产率较低,经济总体生产率增长将不可避免地下降。
鲍莫尔用投入产出表对美国1947~1976年的数据进行了计算,发现相当一部分服务业虽然产值比重上升,但实际产出比重基本不变,证明了这些服务业具有劳动生产率上升慢、价格上涨快的特点,随着低效率高成本服务业比重的上升,同样要素投入的产出能力下降,拉低了经济整体增长速度。国内有学者对服务业增长因素进行了分解,指出服务价格上升较快的一个重要原因是服务业的低效率(江小涓,2010)。还有研究者使用行业数据回顾了中国1990~2010年服务业整体和细分行业的全要素生产率,发现该时期服务业整体TFP滞后于制造业且服务业内部行业异质性明显(王恕立、胡宗彪,2012)。
图3是我国服务业(服务)价格、制造业(商品)价格、工业生产者购进价格和固定资产投资价格的指数上涨比较。可以看到,服务项目价格指数远高于其他任何一种指数。

图3 1991-2020年中国几种价格指数比较
数据来源:服务项目价格指数在2000年之后停止了统计,1991~2000年服务项目价格指数来自程大中(2008)(对缺失值的处理:2016~2020年“家庭服务及加工维修服务费类居民消费价格指数”用“家庭服务类居民消费价格指数”代替;2016~2020年“城市间交通费类居民消费价格指数”用“交通费类居民消费价格指数”代替;2016~2020年“学杂托幼费类居民消费价格指数”用“教育类居民消费价格指数”代替;2016~2020年“市内公共交通费”和“个人服务类居民消费价格指数”根据趋势外推法预测得到),2001~2020年数据根据相同方法,使用家庭服务及加工维修服务费、医疗保健服务、个人服务、市内公共交通费、城市间交通费、通信服务、学杂托幼费、文娱费、旅游及外出、住房租金的价格指数取均值计算服务项目价格指数。2000~2015年数据来自历年《中国统计年鉴》,2016~2020年数据是笔者汇总多个来源计算得到。商品零售价格指数来自历年《中国统计年鉴》。
2.服务特点对贸易效率的约束
国际贸易能够扩大市场,也能利用全球资源,因此带来效率提升。服务业的“同步性”和“不可储存性”带来的一个衍生特点是“服务不可远距离交易”。例如零售业只能卖给面对面的顾客,教育、医疗、艺术表演等服务只能向现场观众提供等,远距离交易几乎不可能(江小涓,2008)。当地市场规模的限制又反过来约束了服务业规模效益的产生。有许多实证研究展示了实践表现。例如,相比于服务业在欧盟国家国内生产总值中70%以上的高占比,服务贸易仅占欧盟总贸易的1/4(威海姆,2015)。对中国类似数据的研究也表明,中国同样呈现出与服务贸易占总贸易比重明显低于服务业占GDP比重的现象(江小涓、罗立彬,2019)。
由于“不可远距离交易”,服务贸易在全球贸易中的比重长期处于低水平。如图4所示,1980年服务贸易出口仅占全球出口总额的16.2%。2000年这一比重为19.1%,2010年为20.6%,2020年为22.0%。由于贸易比重低,服务业从贸易中得到的效率提升也相对较少。
3.服务特点对分工效率的约束
分工带来生产效率的提升,是经济学最悠久也最重要的观点之一。亚当·斯密和马歇尔两位学者分别在1776年和1890年对分工进行了较为系统的论述(亚当·斯密,2011a,2011b;阿尔弗雷德·马歇尔,2019),指出分工之所以能够提升劳动生产率,是因为分工带来专业化程度的提高。分工越细,操作者的技能越专门单一,设备更专用,人与机器的配合更熟练、更稳定、更有效率。杨格将产业间分工的动态演进与报酬递增联系起来(杨格,1928),特别强调了中间产品的重要性,指出效率的提高主要来自产业体系内中间产品的增加和产业链条分工的增加。
关注创新的作用是近半个世纪分工研究的一个重要领域。20世纪90年代以来,经济全球化和全球产业链的发展促进了产业内分工和产品内分工,分工从经济体之间延伸到产业之间、企业之间和产品层面。不少研究发现,不论在哪个层面,分工的依据从国家间比较优势、资源禀赋等因素,转变为基于知识和技术的创新,即技术创新愈来愈多地决定分工走向。企业通常“为了获取垄断优势自发进行技术竞争”(洛瑞,1979;达斯古普塔、斯蒂格利茨,1980;李、怀尔德,1980),这些技术竞争通过现有分工结构的效率改进和产生新的分工,促进了分工不断深化与效率持续提升(克鲁格曼,1988;格罗斯曼、赫尔普曼,1989)。

图4 1980-2020年全球服务贸易占全球贸易的比重变化
数据来源:联合国贸易与发展会议。
产业间分工、产业内和产品内分工都可以发生在全球范围。产业间分工典型表现为不同经济体在初级产品、制造业产品、技术和高端产品等不同产业部门间的分工活动,如图5a所示。产业内分工是在同一产业部门内部(如图5b中的太阳能光伏产业)供应链上的分工。产品内分工是同一产品(如图5c中的派德高电动自行车)的不同工序或组件的跨国供应。

图5 三类典型分工业态
资料来源:根据世界银行(2019)整理绘制。
然而不少学者同时指出,分工在提高生产效率的同时,也会带来整个生产过程协调成本的增加(贝克、墨菲,1992)。有研究者从产业组织的角度进行分析,认为分工和专业化程度要统筹考虑分工带来的利益和协调成本的约束(杨小凯等,1999a,1999b)。不过,协调成本并没有阻碍制造业分工的持续深入发展,制造业的分工结果是已经设计出来的有形零部件,头部企业可以对分工出去的零部件事先提出明确要求并精准考核产品质量,协调成本相对可控。
与制造业分工相比,服务业分工程度相差很多。除了不可远程交易带来分工困难外,另一个重要原因是协调成本问题。有研究者较为系统地分析过服务业复杂分工之所以困难,是因为预见成本、缔约成本和证实成本昂贵,协调成本很高(江小涓,2008)。服务的结果无法凝结在实物产出上,而是体现在服务过程中,无法事先确定质量和品质细节。愈是高知识含量和专业化程度高的服务,结果的不确定性就愈强,诸如研究开发新技术新产品、市场营销、管理活动等,都不易事先确定衡量标准。正是由于度量产出困难和服务过程中的细节事先难以确定,服务的社会分工就难以深化,服务过程更多被置于企业内部。这一点早有研究者意识到了:需要那些最高级和最精细才能的服务供给,由于人们对于中间人的参与是不信任的,而倾向于由企业内部提供相关服务(阿尔弗雷德·马歇尔,2019)。
由于制造业全球分工普遍和深入,制造业国际贸易占制造业全球增加值的比重和占全球贸易总额的比重都较高;而服务业全球分工困难,导致服务业国际贸易占全球服务业增加值和全球贸易总额的比重都较低,如图6所示。

图6 全球服务品出口、制造业出口与总出口、对应行业增加值的比重
注:由于出口中包含中间品贸易导致的重复计算,部分年份的“制造品出口额占制造业增加值比重”大于1,有两个原因:第一,“出口额”是总产值的概念,既包含当地的增加值,也包括进口中间品等转移价值;第二,制造业全球分工程度高,许多产品是多个国家分工制造,因而经过多轮“总产值”与“增加值”之间差额的叠加。
数据来源:联合国贸易和发展会议。
(三)信息技术提升服务规模效率和贸易效率
从20世纪中期开始,服务型技术创新开始加速,由技术加持的现代服务业开始加速成长,特别是信息技术发展,显著提升了服务业的规模效率和贸易效率。
1.无线传输技术和硬件载体的发展应用
20世纪中期以来,以无线传输技术为代表的信息技术打破了许多服务只能现场提供的约束,提高了服务业的规模效率和贸易效率。文化服务业较早也较明显地体现了这个阶段技术进步的影响。有学者分析了广播电视服务等文化产业在1967~1995年经历的快速发展,指出技术提升了此类服务的流通空间和流通时效,集聚了高级人力、知识产权、技术和文化等要素(厉无畏、王慧敏,2006;黄永林、罗忻,2011)。稍后,为无形服务内容提供有形载体的技术和产业快速发展,进一步突破了更多服务的现场约束问题。例如音乐会的演出可以批量制作成音像制品,既可以错期观赏,也可以远距离传送,实现了大规模生产和远程贸易。美国是全球最大的音乐版权管理市场,2001年通过现场表演及录制方式的收入(216.40百万美元)仅占到了全部音乐版权收入(1940.42百万美元)的11.15%,而和信息技术相关的业务贡献了86.85%的收入,利息投资和其他收入占比2.00%(见图7)。

图7 2001年美国音乐版权收入构成
资料来源:全国音乐出版商协会。
2.可远程传递的计算机服务快速发展
计算机相关服务业的发展是“现代服务业”发展中的重要事件,产生了自带远程高效传输基因的服务业。软件和其他计算机服务具有了与传统意义“服务”完全不同的特征,不仅可以低成本储存和远距离贸易,还可以复制,供给的边际成本极低。随着信息服务在服务业中比重上升,服务业中一个日益增长的部分呈现出高效率产业的特点。
20世纪末至21世纪初,软件相关外包服务和软件产品贸易迅速发展,成为此类服务贸易发展的主要增长点。有研究指出,软件产业在这一时期成为全球化程度最高的产业之一,全球软件外包市场平均每年以29.2%的速度增长,形成了完整的全球产业价值链(刘毅、何炼成,2006)。全球的信息通信贸易规模在2005~2020年累计增长了106.85%,其中信息通信技术产品出口的贡献从2005年的87.81%下降到了2020年的76.8%,信息通信服务出口的贡献从2005年的12.19%增长到了2020年的23.17%,服务出口主要来自软件等计算机服务业,其次是通信服务和信息服务,如图8所示。

图8 2005-2020年全球信息通信贸易的5类产品和通信服务、计算机服务、信息服务出口
数据来源:联合国贸易和发展会议。
3.互联网服务:自身高效率并且赋能传统服务业
互联网技术的广泛使用对提高服务业效率产生了重要影响。网络技术自身提供高效服务,同时还能远程连接传统服务供需双方,提供其规模效率和贸易效率。
有研究者系统考察了网络技术引发的服务业变化,并指出这些变化并不是向传统实体经济特性收敛,而是广泛地体现在服务基本性质和服务业经济表现的变化中。具体而言,一是数字技术赋予服务活动新特征:“同时同地”约束改变使“可存储可贸易”的服务出现;信息不对称改变扩大了服务消费;交易成本降低增加了服务可达性和交易行为;产业组织结构改变,尤其是平台的出现使生产消费扁平化。二是数字技术赋予服务业网络经济的典型特征:规模经济、范围经济和长尾效应(江小涓,2017)。一个典型的实例是21世纪初网络文化产业的迅速发展,有学者将此现象解释为网络技术的基础创新、应用创新、知识产权创新和创新扩散(解学芳、臧志彭,2014)。
还有研究分析了网络技术对服务和服务贸易的成本影响,指出互联网技术的商业化主要是降低了搜索成本、复制成本、运输成本、追踪成本、验证成本(戈德法布、塔克,2019)以及贸易成本(布林德,2006;卡斯特利斯,2000)。世界贸易组织对全球服务贸易的研究发现其贸易成本在2000~2017年之间下降了9%,并强调数字技术及其催生的在线平台和搜索引擎服务发挥了重要作用。
网络技术极大拓展了可获得服务的时空规模,许多服务无需再以有形载体的形态传输。一个更具体的典型产业案例是21世纪初至今的音乐产业发展,从现场音乐会到音像制品是一次效率提升,再到音乐下载服务、音乐订阅服务、音乐平台服务和音乐版权服务等,互联网音乐服务效率得到再次提升。再如知识内容类服务,随着维基百科这类由全球志愿者实时更新的免费数字百科全书的快速发展,维基百科的文章数目早在2005年之前就超过了《大英百科全书》的60倍,同时在信息的准确性上与《大英百科全书》相当(布林约尔松等,2017),《大英百科全书》于2012年停印了纸质版。
那些尚未通过有形载体得以远程提供的服务业,网络技术赋能效果更加突出。网上购物、远程教育、远程医疗、视频会议、远程生产等新的互联网服务快速发展。江小涓(2018)以职业体育表演业为例做了生动描述:职业足球比赛一直以来由22名队员向现场观众提供90分钟的竞赛表演,多年来劳动生产率几近停滞。有了通讯卫星特别是互联网普及后,同样还是22个球员(生产者)进行的足球比赛,消费者却从以往的数千名数万名现场观众飙升至世界各地的数百万数千万甚至上亿,规模效率和贸易效率与以往相比不可同日而语。
上述各类相关技术的发展提升了服务业的规模效率和贸易效率。然而服务业仍然没有达到像制造业那样广泛存在的分工效率特别是产品内分工效率。例如一辆汽车、一台电脑可以分解为上百个零部件,在不同地点甚至不同国家制造,最后组装为一个最终产品。但一项服务,无论是商务服务、设计服务等生产性服务,还是教育服务、医疗服务、文化服务等生活性服务,都难以进行这种程度的分工:由分散在多处的企业各自提供其中一部分,由它们组装而成一个完整的服务产品。
二、数字技术赋能服务业分工与协作效率提升
数字技术能够促进服务业效率提升,有许多显而易见的案例,也有许多研究成果。斯特罗迈尔等人量化考察了数字技术在西方和亚洲主要国家2007~2016年间社会经济转型中的正面作用(斯特罗迈尔等,2019)。Banga和teVelde研究发现,即便是数字化发展水平滞后的非洲地区,肯尼亚的互联网普及率提高5%(从2007的5%增加到了2012年的10%)也能使劳动生产率同期获得11.3%的增长(班加、特维尔德,2018)。李姝比较了全球50个经济体的互联网发展水平、服务业占比与经济增长速度,发现互联网技术对“服务业成本病”导致的GDP增速下降有显著的改善作用(李姝,2022)。
然而研究者对其机理分析的角度各不相同。一类研究聚焦于企业内部活动,提出了企业使用信息技术以创新自身的组织结构、技术关联和商业模式进而提高了可持续竞争优势和商业价值的微观机制(拉吉夫、瓦伦,2008;尼沃、韦德,2010)。一类研究关注产业内活动,指出数字时代的供应链由企业主导向产业平台生态主导转变,即“封闭式协同向开放式共创”演进的中观机制(陈广仁,2021;陈慧、谷小科,2022)。还有一批研究从更广泛的角度考察了分工影响,涉及数字技术、数字平台、数字服务3个层面,主要观点包括数字技术使分工深度从企业转向产品(杨勇,2022),使分工广度拓展至跨国的复杂技术产品生产活动、服务活动和创新活动(江小涓、孟丽君,2021),并且已成为全球价值链分工活动的重要因素(冈萨雷斯洛佩斯、茹安让,2017;王彬等,2021);数字平台通过提供一组共享技术和支持算法的网络空间,连接广泛用户群体与潜在服务或产品提供商,加速整合服务和制造(希斯曼等,2013);数字服务化通过提供纯附加服务(如远程监控)和嵌入完整智能产品(如服务系统)构成制造企业数字化转型的核心环节(科塔姆基等,2020;张振刚等,2022)。还有学者认为数字技术整体上通过加速创新和推动生产可能性边界外移提高了经济生产率和竞争力(施泰宁格,2019,刘家旗、茹少峰,2022)。
综合分析已有的研究,角度和重点各不相同,大多在一个片段或局部展开分析。现在,数字技术对经济效率的影响已经广泛抵达各个产业和领域,需要有一种体系化的分析思路能够容纳各种表象及变化,将数字技术带来的效率提升问题贯穿到边和连接到底。本文接下来将按照数字技术对分工效率和协作效率的影响这条主线,分析数字时代经济效率的全面提升。
(一)数字生产者服务分工与效率提升
数字技术带来了服务业产业组织形态的重要创新,许多生产者服务呈现出云端统筹、项目制式众包分工、开源式协作创新和网络化多主体协同等特征,这是数字时代生产者服务分工的典型产业组织形态:服务产品内部分布式分工。21世纪初有研究者明确提出分布式生产概念(苏塞等,2000),指出在这种生产模式与大规模集中生产相对,首先出现在制造领域中,将信息通信系统作为调控生产资源分配的“网络代理”(戴克斯,2010)。有学者进一步指出,数字技术发展使分布式生产可以在全球范围得到更广泛应用,核心特征是能够同时获取规模经济优势、分工灵活调控优势和生产消费一体化优势(格劳尔,2007;童昕、蔡一帆,2019)。
1.数字化分布式研发和设计服务
数字时代,技术迅速迭代且要求广泛链接以获取数据,创新需要更加广泛的协作性。同时,技术降低跨界跨地域链接成本,易于形成全球创新网络(巴纳德、夏米纳德,2011)。近些年,数字化分布式研发与创新网络快速发展,平台汇聚大量研发资源,在研发项目分包和分布式开展基础上,各个主体之间依托平台协同合作、并联推进,用户也可以深层参与,提高了研发活动的专业化程度和效率水平。
以国内某专业数字研发平台为例,截至2022年2月,平台拥有超过29万人的工程师分散在世界各地,合作企业数达1.7万多家,平台拥有3个国内研发中心和6个海外研发中心。平台接到每个研发任务后,组合最合适的团队接包。例如平台上的钢盖自动化产线项目涉及17道以上的工序和产品开发,平台将每道工序进一步分解为113个模块,分配给来自上海、青岛、深圳、北京、苏州、南京和德国的32位工程师协同完成,总设计时间比常规研发设计缩短了近3倍。更宏观观察,以城市为节点的科技集群在全球创新网络中处于“核心”位置,汇聚了大量的国际创新合作。2019年的《知识产权报告》描绘了全球创新热点城市之间的合作,其中大部分是跨国合作。世界前十大协作热点占全球热点所有国际共同发明的26%。
2.数字化分布式开源技术体系
开源起源于软件,指任何人都可以被授权自由地使用、复制、传播和改动的软件,并且其源代码是开放和共享的。开源模式可以汇聚众智、多方协同、开放共享、持续演化。开源项目拥有海量数据、大量自动化协作工具、大范围连接产品、企业和产业,形成网状产业生态,构建大规模生产和应用场景,本质上是分布式的技术研发与应用。目前,全球97%的软件开发者和99%的企业使用开源软件,全球70%以上的新立项软件项目采用开源模式。区块链项目几乎全部开源,通过全球开发者的接力贡献快速发展和迭代。
互联网的发展促进了更多技术和产业开源开放。尤其是随着5G及相关技术迅速发展,“万物连接”成为趋势。开源式分布式研发在更多领域快速部署,在产业互联网、车联网、云计算等领域重新进行研发资源配置,支持多方协同创新协作生产,加快了技术和产品迭代速度。2021年8月,全球领先的人工智能公司英伟达宣布向数百万用户开放元宇宙模拟协作平台,该平台广泛连接软件公司与应用场景,采用开源标准支持数十亿设备的3D工作流程,行业设计师、艺术家和审核人员可随时随地通过该开源平台,在共享的虚拟世界中进行实时合作。截至2021年8月,有超过500家公司、5万多名专业用户在该平台上开发应用。
3.数字化分布式协同制造服务
数字时代,许多产品需求个性化强、技术迭代快、设备更新快,更有些时尚品的需求速涨速消。对这种类型的产品,以企业为中心的生产组织形态由于设备能力和员工技术固化,调整余量小,适应性差,面临新的挑战。数字平台能够链接大量企业、产线、设备、仓库和员工等,形成巨大产能池,按需匹配各种资源,能够迅速组织起以产品为中心、在一定区域范围内的分布式制造产线。典型有如“云工厂”,是一种平台承接订单并通过拆解制造过程分派给不同企业,针对每个订单组建个性化“云产线”的分布式协同生产模式。以宁波的协同制造平台“生意帮”为例,由协同制造供应链体系、众包服务平台、智造工程验证实验室和协同生产物联网平台组成,既随时按需调用平台上数以万计的小微工厂同时生产后统一物流配送以提高生产速度,并实时监控各生产设备的声音、电流、压力、温度等10余项指标以确保产品质量。
4.数字化分布式售后服务体系
传统售后服务主要是由服务商提供的维修和维护等辅助业务,设备制造商只专注于生产与销售。数字时代,设备产品日益复杂,客户越来越期望不受时间和距离限制地获得优质快速的售后服务。为应对扩张的售后服务市场需求,生产商、服务商、供应商之间纷纷通过数字平台建立分布式的售后服务合作网络来增强客户体验,设备制造商也得以更好地建立和管理长期客户关系,成为综合服务解决方案提供商。一个典型的案例是数字时代的汽车制造商通过搭建“产品—生产—供应—运营—运行—售后服务”联动的多数字平台体系,转变为出行服务运营商。制造商、运营商、服务商的异构数据在平台上集成并授权给不同子系统用户,提高了售后服务的速度、透明度和性能数据的可见性,使各方受益。
5.数字化分布式科学研究
随着当代科技纵深发展,对于未知的探索范围越来越广,程度也逐渐深入,科学项目在投资强度、学科交叉、实验成本、参与人员等方面提出了更高的要求,以国际合作开展的大科学项目成为目前探索知识边界、解决全球性重大问题的重要平台,包括人类基因组计划、国际空间站计划、平台阵列天文台计划等的大科学项目为实现人类进步和社会发展做出了重要贡献。这些大科学项目不仅需要大量资金,更需要多个国家具备不同专业知识的科研力量共同完成,数字技术为大科学国际合作提供了强大支持。一是数字平台为各类科研资源提供了协同工作的场景,以开展分布式的前沿研究。例如,人类蛋白质组计划有16个国家和地区的超过80个实验室参与,国际地圈—生物圈计划涉及49个国家成员,全球生物多样性信息网络计划截至目前拥有61个国家的科学数据。二是数字技术为此类复杂科研问题提供了数字化和数据驱动的研究模式。例如,人类基因组计划的完成以及转录组、蛋白质组和代谢组等各种生命组学的进展,正是数据驱动研究的典范(张晓,2019)。一项核能源领域的跨国合作研究项目“国际热核聚变实验堆计划”集合了上述两个特点,达索系统的3D数字平台将所有物理组件数据模型化后映射至平台以创造可数字化协同的基础,同时为数千人的科研团队和零部件供应商、数百万个组件以及海量数据提供实时同步的模拟仿真协作环境。
(二)数字生活服务业分工与效率提升
数字技术广泛应用带来服务业分工的快速发展。数字技术使分布于不同空间中的服务片段能够在时间上同步并在数字平台上共享,各部分进程的同步可视化协调使分工成为可能。由此带来的分工效率促进了服务业新业态、新模式的不断出现。
以音乐服务为例,有了数字技术特别是5G通信网络之后,音乐服务从现场服务到硬件载体传输服务再到网络空间服务之后,进入了可以远程分工服务阶段。多位身处异地的乐手共同演奏一首音乐、合成一台音乐会成为可能,类似于一个制造产品将不同零部件布局到不同的地点去制造。一个经典的案例发生在2018年(如图9所示),6位分布在世界各地的乐手同步演奏了一首乐曲,这首曲子可以在任何一个地点收听,不仅传输的总距离超过了两万公里,而且每一位乐手传输的距离不一样,但在低时延高保真5G网络的加持下,分布在世界各地的听众所获效果没有任何违和感,品质与现场相差无几。

图9 六国音乐家在六地通过5G网络合奏巴赫C小调前奏曲与赋格
资料来源:桑萨尔(2019)。
再以数字化医疗服务分工为例。5G通信、人工智能、自动图像分析等正在从根本上改变医学实践,极大提高基础医学和临床研究的效率。一是数字技术促进了数据层面的协同研究,网络技术可以通过近乎实时的协作获取足够多的患者数据以满足循证医学分析。二是5G基础设施使远程协作手术等操作层面的医疗服务分工得以实现。北京积水潭医院通过5G网络实施了脊柱远程螺钉固定手术。现在此类远程协作手术的平均网络延迟时间只有28毫秒,远远小于5G技术之前第一例远程手术的155毫秒延时,椎弓根螺钉的放置偏差均小于0.8毫米,准确率和效率都高于传统纯人工操作。远程手术不仅可以一对一进行,还可以一对多进行,高水平医疗团队的效率极大提升。如图10所示。

图10 5G远程机器人脊柱手术工作流程
资料来源:根据笔者2021年11月积水潭医院调研资料、田等(2020)总结。
图11总结了技术进步提升服务业效率的4种主要形态,它们时间上重叠递进,空间上将长期并存,持续推动服务业效率的提升。

图11 技术赋能服务业效率提升的4种形态
资料来源:作者绘制。
总之,在信息技术、网络技术和数字技术加持下,服务业一个日益增加的部分呈现出规模效率、贸易效率和分工效率,特别是服务业分工日趋广泛深入,促使服务业整体效率显著提高。不过,数字技术对经济效率的提升远不会止步于各类服务业,而是通过数字服务的全链嵌入,对其它各类产业和各种经济行为效率的提升产生广泛而深远的影响。
三、全链路数字服务嵌入与各个产业协同效率提升
数字服务业不仅自身效率极大提升,而且向消费全域和生产全链赋能,提升社会资源配置效率,拓展经济增长空间。特别是双边和多边数字平台提供的匹配与协调基础能力成为一个分析重点(罗歇、梯若尔,2006;甘迪亚、帕门蒂尔,2020)。
(一)消费类平台精准匹配海量数据提高协同效率
数字化消费平台首先要具备海量协调能力。消费者需求具有个性化偏好,生产者希望提供多元化定制服务,但长期以来这种意愿缺乏技术支撑。数字技术提供连接巨量消费者和生产者的能力,各方需求特点和供给能力都能在平台上呈现。平台同时提供智能化海量匹配能力,消费端搜索技术使消费者能够选择感兴趣的产品和服务,生产端个性化定制和智能分发技术精准满足消费需求。在这个过程中,数字技术将链路中的每个节点都变得可视可算可交互,为平台提供了海量个性化全程协同能力(江小涓,2017)。
消费平台还通过解决信任和信用问题促进各方协作。在网络空间,交易的范围、深度和广度都得到极大拓展,与遥远的“陌生人”交易成为交易的主要部分,信任就成为首要问题。数字技术能够抓取多种信息,刻画出市场主体和个体的信用状况,促进交易,还能对失信行为进行处罚。例如汇聚各方对产品和服务质量的评价,成为规范交易行为的重要手段。再如通过对语言文字和图片的智能比对以及更多的智能信息审查和过滤机制等,能够在海量交易中保护知识产权,规范交易行为。数字技术还能快速塑造各方信用。交易数据具有实时高频和易验证、多维度、数据量大和颗粒度细等特点,为交易信用的有效构建提供了可能。例如互联网银行,汇聚客户线上线下各种实时相关数据,在从事传统银行认为高风险高成本的小微企业和个体贷款业务中能更好地识别与应对风险。银保监会数据显示,2020年四季度,国有大型商业银行、股份制商业银行、城市商业银行和民营银行的不良贷款率分别为1.52%、1.50%、1.81%和1.27%,微众、民商、新网、众邦等互联网银行均在民营银行之列,见图12。
平台的海量协调能力促进了线上消费的快速发展。根据国家统计局和商务部数据,我国网络零售额增长明显快于社会消费总额。如图13所示,网络零售额由2001年的10.4亿元增长至2020年的11.76万亿元,同期社会消费零售总额由4.22万亿元增至39.20万亿元;“十五”、“十一五”、“十二五”和“十三五”期间,网络零售额年均增速分别是社会消费零售总额年均增速的7.9倍、5.6倍、4.0倍和4.1倍。消费整体线上化水平在2012年首次超过5%(6.37%),在2014年超过10%(10.75%),2020年增至30%,显示出强大增长能力。
(二)产业平台全链路数字服务提高协同效率
数字时代,依托产业互联网平台,在产业链条中引入数字服务提高全链效率,是制造业、矿业和农业数字化转型升级的重要内容。
产业平台将多种数字化服务嵌入产业全链。常用的有金融服务链路、消费者定制链路、智能化采购链路、市场端智能库存与销售链路等,这些高度专业化的数字服务内化在产业链路上,能达到链上企业易于获得服务、服务企业易于寻找客户和头部企业为合作者赋信等多种效果,以同步高效的协同能力提升全产业链经济效率。许多情况下,这些平台会继续向更多行业和领域拓展,通过数字在整个产业生态中的应用,驱动更多产业进行高效协同和效率提升。
产业平台为全链企业提供数据相关服务,提升链上业务贯通和协同能力。数据服务能够贯穿工业生产所有环节形成多业务响应能力,可复用的数据资源被沉淀到平台,形成的分析结果再通过平台用于各生产环节。有研究介绍了众多传统行业中此类全链路产业平台,一个典型案例是全球领先矿业公司力拓的“未来矿”平台全面集成矿石生产过程数据,并将数据分析结果以通用格式实时共享至采矿、调度、维护各个环节,同时提高了安全性和采矿效率(卡斯特罗、弗伯利,2015)。国内有装备制造业的柔性生产平台系统的数据采集和分析服务已经实现了全工厂、全流程覆盖。还有平台更将数据链路延伸至用户端,例如海尔的全球首个以用户为中心的工业物联网平台“卡奥斯”,用户主导的大规模定制生产模式提高了整个产业生态圈的数字化协同效率。
(三)就业平台远程链接和智能匹配提高劳动力市场效率
劳动力市场的供需匹配问题是经济学研究的重要问题,数字技术促进了劳动力市场的匹配效率。有研究指出,基于平台的资源重组与聚合也发生在劳动力市场,提供生产和服务的劳动能力被分解,即所谓的“灵活就业”,劳动者的分工时效得到提高(孙亚男,2017)。就业平台能够汇聚巨量求职者和需求方,通过计算对劳动的供给池和需求池进行大规模、高效率的精准匹配。
国际劳工组织(2021)的调查数据显示,全球数字劳工平台从2010年的142个增长到了2020年的777个以上。通过数字平台从事自由职业的劳动者中,有17%是“移民工人(migrant workers)”,这一比例在发达国家更高,为38%。我国2016~2019年灵活用工市场规模年均复合增长率也高达45%。有研究指出,这些求职者与客户之间建立联系不再通过以往的劳动中介机构,而是基于互联网平台(陈根,2017)。
有研究指出,就业平台的远程展现机制、匹配机制、信誉机制等,为进入线下市场困难的劳动者创造新的就业机会,提高他们的收入水平。在平台上所有人都可以便捷上线,有平等呈现的机会,在海量资源中发现最合适的彼此并直接交易与合作。平台还能为这些新进入市场的“陌生人”赋予信用。这极大降低了低优势人群进入市场需要的信息成本、资源成本、交易成本等。美团平台的骑手有77%来自农村,约1/4来自原来的国家贫困县。2018年阿里平台上的女性创业者占比为49.2%,女性得以在实现家庭照料的同时完成线上工作,增加了女性参与市场的机会。平台还为低资产人群提供更多资源获取机会。互联网银行、移动支付等可以为小微企业和个人提供大量的金融服务,拓展了贫困地区和贫困人口的融资渠道。

图12 各类银行的不良贷款率
注:国有大型商业银行 、股份制商业银行、城市商业银行和民营银行的不良贷款率为2020年四季度数据,5家互联网银行的不良贷款率为2020年数据。农村商业银行2020年四季度不良贷款率相对较高,在此未列入。自2019年起,邮政储蓄银行纳入“大型商业银行”汇总口径。
数据来源:根据银保监会数据和银行公开年报整理。

图13 2001-2020年中国消费线上化水平
数据来源:国家统计局、商务部。
四、数据全纳、数实孪生与产出效率叠加
数字技术赋能各类产业以及各种经济行为,其本质是生产消费数据资源的收集汇聚和智能算法结果的回嵌应用。所有消费和生产环节、所有空间物品及各类行为动作都数据化之后,可以称之为数据全纳的实现,意味着人类可感知物理空间所对应的数字空间全面生成,数字空间能够持续优化相关机理模型并回嵌到物理空间。此时,所有人类的经济行为都会在物理空间和数字空间同步提供产出,带来产出效率的倍增。
(一)数据原生、数据次生与数据全纳
从数据产生与产业活动的关系看,笔者将数字时代的产业类型分为“数据原生产业”和“数据次生产业”两类。
1.数据原生产业及其天然数据基因
“数字原生企业(digital native enterprise)”最早由全球性研究机构“国际数据集团”的研究团队罗森等人提出,指那些高度依赖于将数据转化为知识的业务类型的企业(罗森等,2017)。数据原生产业从产生之日起,就产生数据并以数据作为基本要素生存发展。观察当下数字技术和数字产业的状况与发展趋势,数据原生产业至少包括以下几组类型。
第一组是数字平台企业。谷歌、脸书、优步、阿里、腾讯和百度等都是典型的“数字原生企业”,其价值创造植根于数据的提供和分析之中,形成了基于数据的商业模式,数据基因原生于价值链各环节。这些企业因数据而生存和发展,主要由客户数据的生产和交易推动,客户的实时数据为了解他们的愿望和需求提供了重要线索。积累、维护和分析这些数据是平台的一项关键能力,也是商业模式的基础条件。
第二组是专业数据生产商。包括数据采集整理、数据标注和数据分析领域的生产者和交易者。数据采集主要以计算机视觉和语音感知两类技术实施;采集后的数据包括图片、语音、文本等,都需要进行数据清洗和标注服务。专业数据生产商的运营方式有自营、外包和众包等类型。有些企业还提供延伸服务,包括数据二次开发服务、数据分析咨询、数据库管理等。例如我国较早成立的数据服务供应商“数据堂”,主要运用人工智能和大数据技术提供数据集产品、数据标注服务、数据定制服务和解决方案等,服务的数据应用涵盖生物识别、语音识别、自动驾驶、智能家居、智能制造、新零售、智能医疗、智能交通、智能安防、手机娱乐等丰富场景。
第三组是依托数据的新创企业。这些企业走在创新的潮头,以各类独角兽企业为代表。这些成立时间短、资本市场看好的新生公司不仅数量迅速增长,而且愈来愈多是数据原生企业,金融科技、软件服务、电子商务、人工智能、健康科技领域的企业占全部独角兽企业的比重均超过10%(见表1)。2021年我国独角兽企业已经全部是数据原生企业。

第四组是数字相关基础设施企业。收集计算传输数据所需的新基础设施投资巨大,后续价值实现更需要大量行业创新应用做支持。中国新型数字基础设施建设规模大,截至2022年7月,累计建成开通5G基站达196.8万个,占全球70%以上;目前5G移动电话用户达3.55亿户,约占全球的3/4;截止到2022年6月,我国数据中心机架总规模已超过590万架,达到世界领先水平。据报道,2021年数字基础设施投资达1.16万亿元,占当年基建投资额的7.7%,其中5G投资1849亿元,占电信固定资产投资比达45.6%,对增长的贡献突出。
2.数据次生产业及数据基因植入
数据次生产业是指传统产业的数字化转型、数据基因的植入与产业数字机理模型的形成。这个转型过程的基础是对经济活动产生的数据进行收集、存储、分析和回嵌应用。较早时期这个转变过程主要集中在征信产品、政务数据、金融数据等领域,而后向医疗、能源、消费、司法、交通、教育、物流、旅游等领域延展。制造业数字化转型相对较晚较慢,主要是因为制造业中许多业务数据非结构化,场景复杂,处理难度高。现在制造业数字化进程正在加速,我国已经有100多家规模较大、商业模式明确、链接主体较多的产业互联网脱颖而出,链接网上各类企业超过100万家。但制造业全面数字化转型和数据基因植入,仍将需要较长时间的探索和努力。
数据次生产业的地位并不亚于数字原生产业。数字化不同于信息化的一个重要特征,就是信息化可以单机单台单厂推动,而数字化需要链接和协同才有价值。数据原生企业的数据来源和处理结果应用主要是传统产业和社会,数据基础设施需要广泛服务于传统产业和社会才有用武之地,工业互联网平台上的智能控制系统需要收集处理全网各个节点各种行为的数据,优化后的模型或解决方案也需要向全网回嵌和释放。虽然实现数字化转型的制造业比重并不太高,但由于制造业总体规模较大,生产过程连续进行,因此产生的数据量规模较大,同时产业数据是b2b(企业与企业间)类型的数据,数据价值化和交易比例较高。据麦肯锡估计(如图14所示),数据在世界范围的流动创造的增加值中,制造行业数据最多,高达3584EB,占比20.87%。由此可见传统产业数据化的巨大潜力。
3.全部可感知空间的数据化
除了数据原生产业和数据次生产业,数据基因还要植入所有人类可感知空间和可感知行为。空间数据化感知是各类物联网传感器和数据智能挖掘手段自动将物理空间中人和设备的各种状态数据接入核心数字平台,生成完整且相互关联的空间数据集。行为数据化感知在此基础上进一步通过对人、机、物动作和行为的连续、实时数据汇总、关联、共享、反馈,形成多维协同的全时数据集。上述数据集共同构成描绘物理世界生产生活行为、反映空间运行规律的感知智能。例如智能车路协同感知系统整合利用路侧感知设备、车载感知设备和5G移动设备,形成对道路交通空间的全面感知。全域能源管理系统、城市安全运行物联网体系、智慧城市大脑等都可看作全域数据化感知的类型。
4.数据全纳时代
当所有产业、所有人类可感知的物理空间和行为动作全部数据化后,物理世界就完成了数据全纳过程:所有物体、行为和过程都可以用数据形态表达,数字世界正在日益逼真地描述并优化物理世界的运行。数据全纳标志着数字时代全面来临。
(二)数实孪生与产出效率叠加
数据全纳为“数实孪生”创造了条件。“数字孪生”最早由迈克尔·格里夫教授提出,2009年美国空军实验室提出了“机身数字孪生(Airframe Digital Twin)”的概念,2010年美国航空航天局也开始在技术路线图中使用“数字孪生(Digital Twin)”术语。数字孪生的特征是物理空间中的实体事物与数字空间中的虚拟事物之间具有可以连接数据通道、相互传输数据和指令的交互关系。

图14 2018年全球主要行业数据拥有量(单位:EB)
数据来源:国际数据公司(IDC)。
数据资源的汇聚计算和全域全链的嵌入应用,使得原本一个物理世界的实体过程变为实体过程与数据过程的孪生,带来实体和数据双重价值。在现实世界,装备(产品)以物理实体存在,在生产过程中产生增加值,形成了物理装备(产品)资产;与此同时在数字空间,装备(产品)的数字模型同步生成,形成了数字资产。所有经济社会活动同时获得实体价值和数据价值,不断彼此赋能,共同实现增值,此时一个行为过程将实现双重价值创造,提升了经济效率并带来新的增长空间,如图15所示。

图15 实体过程与数据过程的双重价值体系
资料来源:作者绘制。
此时人类进入了数实孪生时代,所有经济社会活动都可以用数据来表达。数字世界不只有现实世界的映射,还具有现实世界中尚未实现或难以实现的体验与交互。再进一步,数字世界与现实世界将实现全景融合与实时交互,现实世界中的一切都将同步到数字世界中,数字世界经过优化处理后的结果也将回嵌到现实世界,提高现实世界行为的合意性,提高全社会资源配置效率,提供新的增长源泉和增长空间,人类社会全面进入数字时代。
文章刊发:
江小涓、靳景:《数字技术提升经济效率:服务分工、产业协同和数实孪生》,《管理世界》,2022年第12期,第9-25页。
作者简介
江小涓:十三届全国人大常委会委员、全国人大社会建设委员会副主任委员、中国行政管理学会会长
靳景:清华大学公共管理学院博士后
来源丨《管理世界》杂志